D:\My Journal\Logo\kam logo.JPG

 

Journal of Contemporary Urban Affairs

                                                                                           2022, Volume 6, Number 2, pages 233–248

Original scientific paper

The Role of Home Gardens in Developing Cities for Improving Workers' Psychological Conditions             

*1 Samuel Nanda Lazuardi  , 2  Dr. Bambang Sulistyantara,

3  Dr. Prita Indah Pratiwi

1, 2 & 3  Department of Landscape Architecture, Faculty of Agriculture, IPB University, Indonesia

1 E-mail: samlazuardi@apps.ipb.ac.id , 2 E-mail: bambang_sulistyantara@apps.ipb.ac.id   , 3 E-mail: pritaindahpratiwi@apps.ipb.ac.id

 

 

ARTICLE INFO:

 

Article History:

Received: 15 August 2022

Revised: 15 October 2022

Accepted: 11 November 2022

Available online: 18 November 2022

 

Keywords:

Home garden;

Green open spaces;

Psychological effects;

Stress level;

Java Island.

ABSTRACT                                                                                                                                                                                                                                                            

 

During the lockdown period, people were restricted from doing many things, particularly activities outside the home, putting strain on psychological circumstances. This study intends to demonstrate that providing a home garden to improve the psychological state of the workers' community may alleviate the challenges of access to green open space in city settings. This study investigates the psychological state of employees and the impact of home gardens on the psychological state of workers in numerous cities in Indonesia during the pandemic. The survey was carried out utilising the Snowball sampling approach by asking various questions and filling out a questionnaire on the participants' backgrounds and psychological problems using PSS-14 and WEMWBS. Data from participants were analysed using correlation and ANOVA. According to the findings of this study, the presence of a home garden utilised for activities has a substantial impact on the psychological condition of the working community. It is advised that the workers' community participate in activities in the home garden five days a week for at least one hour. On the other hand, it is suggested that urban housing developers pay more attention to the house garden and its constituent aspects.

 

This article is an open-access article distributed under the terms and conditions of the Creative Commons Attribution 4.0 International (CC BY 4.0)

C:\Users\Hourakhsh\Desktop\CC_By_2020_licnece1.jpg

Publisher’s Note:

Journal of Contemporary Urban Affairs stays neutral with regard to jurisdictional claims in published maps and institutional affiliations.

JOURNAL OF CONTEMPORARY URBAN AFFAIRS (2022), 6(2), 233-248.

https://doi.org/10.25034/ijcua.2022.v6n2-9  

www.ijcua.com

Copyright © 2022 by Lazuardi, S. N., Sulistyantara, B., & Pratiwi, P. I.


 


  1. Introduction

Urbanization, which is expanding year after year, makes big cities in many countries more congested and disorganised (Houlden et al., 2018). The increased urbanisation adds to a reduction in the number of fields that may be utilised as green open spaces (GOS). This occurs in several major cities, particularly on Java Island, including Jakarta, Bandung, Semarang, Jogjakarta, and Surabaya  (Budiman et al., 2014). In some cities, more than 20% of green open areas are removed in less than or more than ten years  (Budiman et al., 2014). As previously stated, just 12.12% of Jakarta's land area is utilised for GOS. This reality contradicts the rule written in the Indonesian Republic No. 26 in 2007 about Space Structuring (Article 29) and Government Regulation No. 15 in 2010 about The Implementation of Space Structuring (Article 36), which states that the ideal GOS is at least 30% of the city area width (20% public GOS and 10% private GOS).

The benefits of having GOS include offering a space for sports, social events, or nature-related activities, providing fresh air, and making the environment become  physically (de Vries et al., 2003) and mentally (Douglas et al., 2017; Houlden et al., 2018) healthier. Maintaining their bodies' psychological and physiological health is critical for persons who live in densely populated cities and are serious about their employment. These circumstances compel everyone to take a break in order to return to work in good spirits and with a healthy body. Sports improve cardiac function, bodily flexibility, and emotional state greatly  (Xie et al., 2020). Aside from that, social engagement is important for both types of wellness. People engage more when they interact with others around them. It will improve their psychological and bodily well-being indirectly (Kemperman & Timmermans, 2014; Pratiwi et al., 2019, 2020; Xie et al., 2020). Meanwhile, activities that may be done outside the house are prohibited during the pandemic. The limitation makes access to public green open spaces, which may be utilised as a facility to refresh the body, exceedingly limited.

During large-scale social restrictions (lockdown in a large region) in Indonesia, individuals are severely restricted in many ways, particularly the activities they can engage in outside the home. This case strains the psychological state and individual prosperity  (Pfefferbaum & North, 2020). Citizens in some European countries opt to find green areas closer to their homes to address the issue of a shortage of activities outside the house. This situation leads to an increase in the number of persons visiting green spaces fewer than 200 metres from their homes (Ugolini et al., 2020). Subsequent research indicates that the increased infection risk is to blame for the decline in outside room activities, particularly visits to green spaces during the pandemic. Due to this risk, individuals are advised to attend to the nearest green space (Xie et al., 2020). The use of the home garden as the closest green area to the living space as a facility to stabilise the psychological state, such as lowering the degree of stress, becomes the subject of this study.

The difficulty of accessing green open spaces in metropolitan areas, as well as the increasing psychological health of the working community during the pandemic, prompted researchers to consider if these two issues might be addressed in one way, by providing appropriate land for home gardens. Furthermore, individuals in major cities, particularly in Indonesia, are losing sight of the importance of having a garden in their houses for physical and psychological well-being. As a result, this study generates the premise that having a home garden will alleviate these concerns. In this situation, a home garden is defined as a field that is large enough to give the ideal space for the individual or all family members and contains plants that help address psychological difficulties, particularly those caused by everyday life pressures.

As a result, this study will examine the psychological impacts of the availability of home gardens and the sorts of activities performed within the home to mitigate the effects of stress on employees. This study intends to examine the workers' psychological conditions, particularly their stress levels, and to discover the impacts of home gardens on the psychological conditions of the people who reside in the house, particularly employees who live in certain major cities in Indonesia. The benefit sought from this study is to share knowledge with society, particularly Indonesians. In this example, the knowledge is connected to the effect of a home garden on psychological conditions. This study argues that having a home garden might help avoid psychological disorders caused by work stress or stress during a pandemic that may return in the future.


 

  1. Materials and Methods

2.1   Experiment Sites

The study was conducted across Java Island, located at 113°48′10″ - 113°48′26″ EL and 7°50′10″ - 7°56′41″ SL (Figure 1), which has a population number 56,10% of the total Indonesian People in 2020 and has productive age workers as big as 56,87% of the total productive age workers in Indonesia in 2022. Java Island has the highest proportion of productive-age employees among Indonesian islands (BPS-Statistics Indonesia, 2022). This study uses Java Island as a case study since its development and population growth rates are the fastest, allowing the main cities on this island to be compared to cities in other countries with similar rates. Java Island has 132.107 km2 for its coverage mainland (Sholeh & Wibowo, 2015), and its geographical boundaries are as follows:

North Boundary: Java Sea

East Boundary: Bali Strait and Bali Island

South Boundary: Indian Ocean

West Boundary: Sunda Strait and Sumatera Island

This research was conducted online on Java Island from November 2021 to March 2022, with three phases of deployment. The first part consists of developing the research proposal and obtaining approval from November to December 2021. In January 2022, the second phase began with a preliminary survey and was expanded with the layout of questions focusing on the individual's psychological health and the condition of each home garden. The last phase is gathering qualitative and quantitative data about research subjects via questionnaires.


Figure 1. Study location map.

Note: Banten (Cilegon, Tangerang), DKI Jakarta, West Java (Bandung, Bekasi, Bogor, Cianjur, Cimahi, Cirebon, Depok, Indramayu, Karawang, Purwakarta, Subang), Central Java (Batang, Blora, Boyolali, Cilacap, Karanganyar, Kendal, Klaten, Pati, Semarang, Wonogiri), DI Yogyakarta, East Java (Banyuwangi, Gresik, Kediri, Madiun, Malang, Nganjuk, Probolinggo, Sidoarjo, Surabaya, Tulungagung)


 


2.2   Data Collection

The study makes use of both primary and secondary data. The primary data utilised was obtained via an online questionnaire, while secondary data was obtained from a literature review (Table 1).


 

Table 1. Types, forms, and sources of study data.

Data type

Data form

Data source

Geographical site

Map (location, border, and width)

Literature study

Participants’ psychological condition

Descriptive

Questioner

The useful and influence of home garden

Descriptive

Questioner and literature study

 


The data was collected from the study participants by distributing questionnaires using online snowball sampling. Based on the findings of the shared questionnaires, the sample population was expanded as far as possible. The first questionnaire was sent at random to Java Island residents using social media platforms such as WhatsApp, Twitter, and Instagram. The research participants who had completed the questionnaires were re-evaluated to ensure that they met their requirements. The study began with a preliminary survey of the home gardens and the conditions of the participants. The survey on the participants' home gardens was exclusively performed online, using questionnaires that included questions about the garden's condition, total area, garden components, plant varieties, and the number of plants in the home garden. It was then expanded by conducting a poll of the participants. Some questions were asked via questionnaires in this poll. Those questions were relevant to the participants' backgrounds, particularly their employment, the health of psychological conditions (stress and mental health levels), and the participants were required to respond using a Likert 5-point scale (such as very good, good, average, bad or very bad) (Corley et al., 2021). The level of stress is determined by the Perceived Stress Scale (PSS-14) (Cohen, S., Kamarck, T., Mermelstein, 1983; Huang et al., 2020; Jiang et al., 2017; Ribeiro Santiago et al., 2020), while the level of mental health is judged by Warwick-Edinburgh Mental Well Being Scale (WEMWBS) (Chalmin-Pui et al., 2020, 2021; Wicaksono et al., 2021).

The use of Indonesian PSS-14 questionnaires refers to the studies in Indonesia (Aris et al., 2019), while WEMWBS questionnaires used the version translated into Indonesian language (Wicaksono et al., 2021). Participants in the study were also invited to snap photos of their gardens and upload them to the surveys. This exercise was carried out by the study's participants. Product Moment Pearson's was used to conduct the validity test for the items and factors on the three measuring instruments (WEMWBS and PSS-14). Meanwhile, Cronbach's Alpha approach was utilised to assess the efficacy of both assessment systems (Table 2). WEMWBS has one dimension as a result of the Principal Component Analysis test and the directions for applying each measuring instrument, but PSS-14 has two dimensions. Table 3 contains the specifications for each measuring instrument. 

 

2.3   Participants

Participants in the study originate from the study's area, which is in the cities of Java Island. Participants in the research range in age from 20 to 54 years old and are currently working (Law No. 13 of 2003), either within or outside the home, and not during their school or university studies.


 

Figure 2. Research flow.

 


2.4   Analysis Methods

The first phase questionnaire results are assessed utilising the validity and reliability levels via the correlation of Product Moment Pearson's (validity) and Cronbach's alpha (reliability). The sample data is examined using Pearson correlation analysis as well as ANOVA with HSD-Turkey as the extension test on the results of mental well-being and stress level (PSS and WEMWBS) in the groups of individuals who do not have a garden and those who do have a garden. (Corley et al., 2021; Oka et al., 2008; Xie et al., 2020). The data processing application used in this study is IBM SPSS version 26 and RStudio version R-4.0.5.


 


Table 2. The result of the Validity dan Reliability of the three measurement tools (n=192).

Questionnaire

Factor

Total Item-Correlation (rcit)

Cronbach's α

WEMWBS

Positive

0,603 - 0,803

0,930

PSS-14

Positive

0,325 - 0,667

0,681

 

Negative

0,004 - 0,708

0,728

 

Table 3. The specification of the three measurement tools according to each dimension .


Questionnaire

Dimension

Item

Item Example

WEMWBS

Positive

1 - 14

I feel optimist about my future

PSS-14

Positive

4, 5, 6, 7, 9, 10, 13

How often do you feel optimistic about your ability to handle your problems?

 

Negative

1, 2, 3, 8, 11, 12, 14

How often do you feel nervous and stressed?

 


  1. Result

3.1   The Characteristics of Sociodemographic

The total number of participants in both phases of the study is 206. In the first phase, fourteen participants reported that they did not meet the requirements for qualification. Only 107 of the 192 participants in the first phase indicated their ability to proceed to the second phase (second questionnaire), while the remaining seven did not meet the criteria. The following are descriptions of the participants' sociodemographic characteristics based on the questions on the initial questionnaire (Table 6). The average age of the research participants is about 35.5 ± 11.5, and the majority (n = 35) are between the ages of 20 and 24. The gender makeup of the study participants is 38.5% male (n = 74) and 61.5% female (n = 118). West Java Citizens account for 49.5% of participants (n = 95), Special Territory of Yogyakarta accounts for 12.5% (n = 24), DKI Jakarta accounts for 10.9% (n = 21), Central Java accounts for 10.4% (n = 20), East Java accounts for 10.4% (n = 20), and Banten accounts for 6.3% (n = 12). Private workers make up 62.5% (n = 120), public servants make up 13.5% (n = 26), and entrepreneurs make up 24% (n = 46) of the research participants. Aside from the participants' occupations, how they do their duties is also observed. According to the statistics, 41.7% (n = 80) of participants work offline, 21.9% (n = 42) work from home (WFH), and 36.5% (N = 70) work hybrid (a mix of online and offline work settings). As many as 83.3% (n = 160) of the participants do not have a chronic condition, whereas 16.7% (n=32) have one, one of which is bipolar. The study participants are divided into three groups: those who live in village areas as large as 26.6% (n = 51), those who live in housing 60.4% (n = 116), and those who live in cluster occupation 13% (n = 25). Their living arrangements are as follows: private house 55,7% (n = 107), family/relative house 28,6% (n = 55), and boarding/contract house/ 15,6% (n = 30). A garden is available in the homes of 92.7% (n = 178) of the survey participants, whereas 7.3% (n = 14) do not have one.

 

3.2   Sociodemographic Factors That Are Related to Workers' Psychological Condition

In this study, workers' psychological state refers to their level of mental well-being (as evaluated by WEMWBS) and their level of stress (measured by PSS-14). Figure 3 and Table 4 show the results of the correlation test. Because the state of mental well-being has a significant link to stress, as high as -0,56 (p<0,01), it may be inferred that the factor relating to one of the psychological conditions has a connection (indirectly) with other factors. The presence of a garden in the home correlates with stress levels by as much as 0.14 (p<0,05), albeit this link is weak. The other component is the age range, which is separated into seven categories. This component is strongly related to the level of mental well-being and stress, as high as 0,33 (p<0,01) for mental well-being and -0,31 (p<0,01) for mental stress.

The second component that becomes one of the study's focal points is the type of job that is related to stress levels as high as 0.16 (p<0,05). The work method factor has a p-value of 0.061, yet it is related to stress levels as high as -0,14. It signifies that there is currently insufficient information to conclude that the work approach is linked to stress levels. Another aspect is the participants' living situation, which is classified into three groups based on their prosperity and stress level, with values ranging from -0,25 (p<0,05) to 0,21 (p<0,05). However, this figure is regarded as insignificant in terms of influence. The province is the final factor to consider, where the mental well-being level is as high as -0,15 (p<0,05) (Figure 3 & Table 4).


 

Table 4. The result of the p-value correlation test between psychological condition and sociodemographic factors.

Psychological Condition

Variable/Factor

Sex

Age

Health

 

Mental Well-being Level (WEMWBS)

0,357

0,000**

0,824

 

Stress Level (PSS)

0,653

0,000**

0,521

 

 

Profession

Work Type

Work Method

 

Mental Well-being Level (WEMWBS)

0,982

0,519

0,0869

 

Stress Level (PSS)

0,028*

0,508

0,061

 

 

Province

Environment

Living Status

Garden Existence

Mental Well-being Level (WEMWBS)

0,036*

0,445

0,000**

0,357

Stress Level (PSS)

0,317

0,314

0,003**

0,048*

Note: (*) p-value ≤0,05, (**) p-value ≤0,01; p-value the correlation between mental well-being level and stress level = 0,000**


 

Figure 3. Heat map of psychological condition correlation matric with sociodemographic factor

Note:  The number close to 1 and -1 shows a strong correlation.

 


3.3   Home Garden Condition Factor and the Habits that Have Connection with Psychological Condition.

Figure 4 and Table 5 show the results of the correlation study between psychological conditions and several factors related to the home garden. The variables of garden visiting frequency, length in the park (garden enjoying duration), garden acreage, and plant quantity all influence the level of mental well-being and stress. Only the mental well-being level variable in the water feature component exhibits the relationship. The sorts of activities done indoors and when the participants visit the garden have no associations and do not affect both psychological situations. It may be concluded that only by visiting and interacting with the home garden as a natural landscape, stress levels can be reduced and mental well-being is strengthened.


Table 5. The result of the p-value correlation test between psychological condition and some factors related to a home garden.

Psychological Condition

Variable/Faktor

Visiting Frequency

Visiting Duration

Activity Type

Visiting Time

Mental Well-being Level (WEM)

0,007**

0,000**

0,053

0,338

Stress Level (PSS)

0,009**

0,002**

0,198

0,220

 

Garden Area

Number of Plants

Water Feature Existence

 

Mental Well-being Level (WEM)

0,006**

0,026*

0,008**

 

Stress Level (PSS)

0,03*

0,019*

0,164

 

Note: (*) p-value ≤0,05, (**) p-value ≤0,01

 


Figure 4. The heat map of psychological condition correlation matric with the factor that is related to a home garden.

Note: The number close to 1 and -1 shows a strong correlation.

 


 

  1. Discussion

4.1   The Relationship of Age Group to Psychological Condition

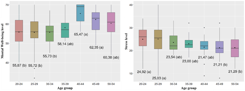
Different ages had a strong association (p<0,01) (Table 4) with mental well-being and stress levels as high as 0,33 and -0,31. (Figure 3). If the advanced test using HSD-Tukey and ANOVA is used, the age factor affects the condition of mental well-being level and stress level (p<0,05). In this situation, the age groups 40-44 and 45-49 have the highest levels of mental well-being, while the ages 20-24 and 25-29 have the lowest levels of stress (Figure 5).

The findings back up prior research that claims that age difference affects the psychological condition   (Chalmin-Pui et al., 2021; Lehberger et al., 2021; Priyantini et al., 2021; Theodorou et al., 2021). Each age group has its own set of psychological pressures, such as the range of old adult age, which has concerns about their pension time, which affects their psychological state. As they become older, their condition improves (Chalmin-Pui et al., 2021; Theodorou et al., 2021; WHO, 2017) (Figure 4).

 


Figure 5. Box plot of age group factor with mental well-being level (left) and stress level (right).


 

4.2   The Relationship of Profession Types and Work Methods to Psychological Condition

The results demonstrate that there is a link between the types of occupations (p<0,05), however, it is weak to stress levels as low as 0.16. (Table 4 & Figure 3). In contrast, although having larger p-values than (p=0,061), the work approach lacks sufficient evidence to be stated to have a link with stress level (Table 6). The outcome in terms of profession kinds corresponds to what WHO describes. The workplace, according to WHO, is critical for intervening in mental and physical health disorders (WHO, 2017). This scenario can be linked to a change in someone's job load, which also has an impact on his mental health  (Haoka et al., 2010). When the test is expanded to include the HSD-Tukey of occupation component, the results show that entrepreneurs and private workers had higher stress levels (23,8 ± 5,9 and 23,7 ± 5,4) than government officials (20,4 ± 5,1) (Figure 6).

The method of work under consideration has no association with stress levels and can nevertheless be determined to have varying averages. The work approach with the highest stress level is the work method performed online. It is reasonable to believe that the work approach has an indirect relationship with stress levels. It happens because there is no direct question on how frequently the research participants interact with the environment outside their residence (particularly during the Coved-19 period) that is specifically designed to address this topic. This notion is founded on past research, which shows that the less one interacts with the outside environment, the worse one's psychological state is   (Corley et al., 2021; Pouso et al., 2020).


 

Figure 6. Box plot of profession factor with stress level (left) and work method factor with stress level (right).

 

 

 

 


4.3   The Relationship of Garden Existence in Place of Living to the Psychological Condition

One of the study's focal points is the impact of garden presence on living space/occupancy. The presence of a garden is related to stress (p<0,05), but not to mental well-being (Table 4). As previously stated, if a factor has a link with only one of the psychological states studied, it may be assumed that it also has a relationship with the other psychological conditions (indirectly). It happens because there is a significant connection between the two psychological disorders. Assuming the ANOVA test is used to expand the test. In that situation, the result shows that the garden existence factor has a strong influence on stress level (p<0,05), hence in the HSD-Tukey test, the living place/occupancy with a garden has a lower stress level (23,1 ± 5,4) than the living place/occupancy without a garden (26,0 ± 5,4). (Figure 7). Both have the same average stress level when seen via the stress level category, but the three-point difference in the score total has made a major difference. This is connected to certain research that shows that having a garden (in all senses) or plants (individually or in a group) has a favourable impact on psychological circumstances (mental health) (Chalmin-Pui et al., 2021; Corley et al., 2021; Elsadek et al., 2019; Lehberger et al., 2021; Luo et al., 2021; Xie et al., 2020).


 

Figure 7. Box plot of garden existence factor with mental well-being level (left) and stress level (right).

Table 6. Sociodemographic characteristics and their relationship to psychological conditions.

Note: (*) p-value ≤0,05, (**) p-value ≤0,01

1 The significance level of Pearson correlation; the level of mental well-being (WEMWBS) and stress level (PSS-14) to some categories (free variables)

2 The categories of prosperity levels: Low (≤42), Moderate (43-60), and High (≥61)


4.4   The Influence of Habit Factor on the Psychological Condition

Garden visits have a substantial correlation with mental well-being (as high as 0.27) and stress levels (as high as -0,26). This example makes a significant difference in both psychological states, so if an advanced test using HSD-Tukey is used, the visiting frequency of ≥5 days per week has the highest degree of mental well-being, as high as 60,93. In contrast, the frequency of visits on ≤1 day per week has the greatest stress level, as high as 25,79. (Figure 8). This conclusion is also shown in the duration component inside the garden, which has a very strong connection with mental well-being (as high as 0.44) and stress level (-0,31). According to the results of the advanced test conducted by HSD-Turkey, a duration of 1-2 hours and ≥2 hours spent within the garden has a strong association with mental well-being (as high as 0,44) and stress level (-0,31). According to the results of the advanced test conducted by HSD-Turkey, the durations of 1-2 hours and ≥2 hours spent within the garden have the greatest mental well-being levels, as high as 64,15 and 63,89, respectively, while the period of ≤30 minutes has the highest stress level, as high as 24,92. (Figure 9). The frequency and duration factors demonstrated that both factors, which were believed to be the habits of study subjects from two weeks to a month before the data were collected, had a significant impact on the levels of mental well-being and stress. Previous research has also shown that these aspects have an impact on someone's psychological state. The more a person visits his or her home garden and spends time in it, the better his or her mental well-being and stress level will be. (Shanahan et al., 2016; Xie et al., 2020; Yang et al., 2020).


Figure 8. Box plot with the average factor of visiting frequency related to the level of mental well-being (left) and level of stress (right).

 

 

Figure 9. Box plot with the average factor of spending time duration in the garden in each visit related to the level of mental well-being (left) and level of stress (right).


 

4.5   The Influence of Home Garden Characteristics Factors on Psychological Condition

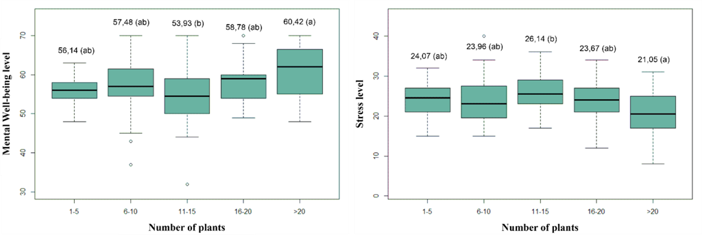
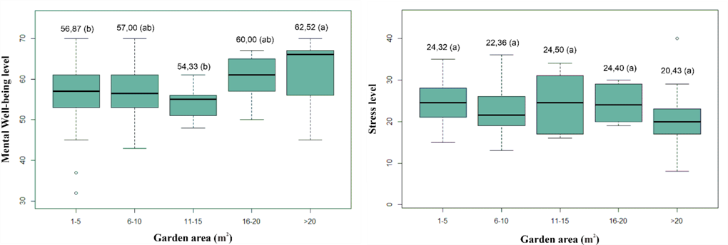
The size of the garden and the number of plants in it have a high correlation with both psychological disorders. It occurs because both parameters have a direct cause-and-effect relationship, revealing that the larger the garden space, the more plants there are inside it. The association between garden area and mental well-being level is as high as 0.27, and the relationship between garden area and stress level is as high as 0.22. An advanced HSD-Turkey test demonstrates that a garden of ≥20 m2 contributes the greatest mental well-being (the best) as large as 62,52, although the width of the garden area has no meaningful impact on the stress variable level (Figure 10). It is possible to deduce that the garden width area is related to stress levels, however, it does not influence it directly. The impact of the width of the garden space on the stress level is projected to be greater than the interaction with the number of plants. It is corroborated by the findings, which show that the plant number factor has a link with stress levels as high as -0,23 and mental well-being as high as 0,22. The advanced test results from HSD-Turkey demonstrate that the garden with 11-15 plants has the highest stress level, up to 26,14, while the garden with ≥20 has the highest mental well-being level, up to 60,43. (Figure 11). This finding presents an intriguing scenario in which research participants with 11-15 plants had the greatest stress level and the lowest metal prosperity level. The polynomial orthogonal (regression type test) test, on the other hand, demonstrates that the cause-and-effect connection associated with the number of plants and psychological states forms a linear line.


 


Figure 10. Box plot with the average factor of the garden area related to the level of mental well-being (left) and level of stress (right).

 

Figure 11. Box plot with the average factor of plant number related to the level of mental well-being (left) and level of stress (right).

 


The water feature in a home garden is the next thing to consider since it has a significant association with mental well-being levels as high as 0.26. The advanced test results suggest that a garden with a water feature raises the mental well-being level of research participants (as high as 59,71) compared to study participants who do not have a water feature in their garden (as high as 55,56). (Figure 12). The test results for the garden space, plant quantity, and water presence in the garden are identical to prior research. The more plants that are present in the garden, the greater the chance for biodiversity, which harnesses one's connection to nature (Cox et al., 2017; Hall & Knuth, 2019; Young et al., 2020; Zhang, Zhang, & Zhai, 2021). Aside from that, the more plants there are in the garden, the more oxygen there is, which relaxes someone's psyche. Keeping animals in the garden also improves their psychological state. Regarding the occurrence of water features, prior research shows that the availability of water bodies (particularly natural ones) has a good influence on psychological conditions such as mental health. It even happens when the socioeconomic element is taken into account (Pouso et al., 2020; White et al., 2010). Aside from that, listening to water sounds (together with visuals) may significantly reduce tension and improve psychological states (Thoma et al., 2018; Zhang, Zhang, Zhai, et al., 2021).


 


 


Figure 12. Box plot with average water feature existence factor related to mental well-being (left) and stress level (right).


 

  1. Conclusion

This study was successful in expanding knowledge about the value of having a home garden to enhance psychological conditions during a pandemic, which has never occurred before. During the pandemic shift, various elements impact psychological circumstances connected to mental well-being and stress levels, according to this study. Age, employment type, provincial location, living quality, and the presence of a garden in the house are all contributing variables in this situation. In terms of Java Island society, the age range of 40-49 has the highest mental well-being (with an average of 62.35-65.47) and the lowest stress (with an average of 21.21-21.47), regardless of where they live in the province. Entrepreneurs (with an average of 23.78) and private workers have the greatest stress levels (with an average of 23.67). In terms of housing, a house with a home garden has the finest psychological state (with an average of 23.03). In addition, the habit of engaging in green space has a significant impact on psychological states. The frequency of visits, the length of time spent in the park, the breadth of the garden area, the number of plants, and the presence of water in the garden are all habitual elements that have a large influence. This study gives scientific evidence on the elements that influence psychological states. Someone who visits the home garden more than five days each week has the finest mental health (with a mean of 60.93) and the lowest stress level (with a mean of 25.79). Similarly, what happened to the time component in each park visit, when someone who attended for more than an hour had superior psychological condition results? It is advised that the workers' community participation in activities in the home garden five days a week for at least one hour. On the other hand, it is suggested that urban dwelling developers pay more attention to the house garden and its constituent aspects. The minimum time of each visit to the home garden, which is also connected to the type of activity carried out, has to be examined further in a future study to optimise the influence of the home garden on mental well-being and stress levels.

 

Funding

This research did not receive any specific grant from funding agencies in the public, commercial, or not-for-profit sectors.

 

Conflicts of interests

The author declared that there was no conflict of interest relating to the conduct, outcome, and publication of this study.

 

Data availability statement

The original contributions presented in the study are included in the article, further inquiries can be directed to the corresponding author/s.

 

Ethics statements

Studies involving animal subjects: No animal studies are presented in this manuscript.

Studies involving human subjects:  The authors  received a certificate of passing ethical review from the Human Ethics Commission of IPB University 615/IT3.KEPMSM-IPB/SK/2022 (11th Feb 22). No potentially identifiable human images or data are presented in this study.

Inclusion of identifiable human data:  No potentially identifiable human images or data is presented in this study.

 

CRedit author statement

Conceptualization: S.N.L., B.S., P.I.P. Data curation: S.N.L. Formal analysis: S.N.L., B.S., P.I.P. Fundung acquisition: S.N.L. Investigation: S.N.L., Methodology: S.N.L. Writing-original draft: S.N.L. Writing-review & editing: S.N.L., B.S., P.I.P. All authors have read and agreed to the published version of the manuscript.

 

References

Aris, Y., Sarfika, R., & Erwina, I. (2019). Stress Pada Mahasiswa Keperawatan Dan Strategi Koping Yang Digunakan. NERS Jurnal Keperawatan, 14(2), 81. https://doi.org/10.25077/njk.14.2.81-91.2018

 

BPS-Statistics Indonesia. (2022). Labour Force Situation in Indonesia February 2022. February 2022, 229.

 

Budiman, A., Sulistyantara, I. B., & Zain, A. F. (2014). Deteksi Perubahan Ruang Terbuka Hijau Pada 5 Kota Besar Di Pulau Jawa (Studi Kasus : Dki Jakarta, Kota Bandung, Kota Semarang, Kota Jogjakarta, Dan Kota Surabaya). Jurnal Lanskap Indonesia, 6(1), 7–15. https://doi.org/10.29244/jli.2014.6.1.7-15

 

Chalmin-Pui, L. S., Griffiths, A., Roe, J., Heaton, T., & Cameron, R. (2021). Why garden? – Attitudes and the perceived health benefits of home gardening. Cities, 112(January), 103118. https://doi.org/10.1016/j.cities.2021.103118

 

Chalmin-Pui, L. S., Roe, J. J., Griffiths, A., Smyth, N., Heaton, T., Clayden, A., & Cameron, R. W. F. (2020). “It made me feel brighter in myself”- The health and well-being impacts of a residential front garden horticultural intervention. Landscape and Urban Planning, 205(March 2020), 103958. https://doi.org/10.1016/j.landurbplan.2020.103958

 

Cohen, S., Kamarck, T., Mermelstein, R. (1983). A global measure of perceived stress. Journal of Health and Social Behavior. Journal of Health and Social Behavior, 24(4), 385–396. https://doi.org/10.2307/2136404

 

Corley, J., Okely, J. A., Taylor, A. M., Page, D., Welstead, M., Skarabela, B., Redmond, P., Cox, S. R., & Russ, T. C. (2021). Home garden use during COVID-19: Associations with physical and mental wellbeing in older adults. Journal of Environmental Psychology, 73(November 2020), 101545. https://doi.org/10.1016/j.jenvp.2020.101545

 

Cox, D. T. C., Shanahan, D. F., Hudson, H. L., Plummer, K. E., Siriwardena, G. M., Fuller, R. A., Anderson, K., Hancock, S., & Gaston, K. J. (2017). Doses of neighborhood nature: The benefits for mental health of living with nature. BioScience, 67(2), 147–155. https://doi.org/10.1093/biosci/biw173

 

de Vries, S., Verheij, R. A., Groenewegen, P. P., & Spreeuwenberg, P. (2003). Natural environments - Healthy environments? An exploratory analysis of the relationship between greenspace and health. Environment and Planning A, 35(10), 1717–1731. https://doi.org/10.1068/a35111

 

Douglas, O., Lennon, M., & Scott, M. (2017). Green space benefits for health and well-being: A life-course approach for urban planning, design and management. Cities, 66, 53–62. https://doi.org/10.1016/j.cities.2017.03.011

 

Elsadek, M., Liu, B., & Lian, Z. (2019). Green façades: Their contribution to stress recovery and well-being in high-density cities. Urban Forestry and Urban Greening, 46(August), 126446. https://doi.org/10.1016/j.ufug.2019.126446

 

Hall, C. R., & Knuth, M. J. (2019). An update of the literature supporting the well-being benefits of plants: Part 3 - social benefits. Journal of Environmental Horticulture, 37(4), 136–142. https://doi.org/10.24266/0738-2898-37.4.136

 

Haoka, T., Sasahara, S. I., Tomotsune, Y., Yoshino, S., Maeno, T., & Matsuzaki, I. (2010). The effect of stress-related factors on mental health status among resident doctors in Japan. Medical Education, 44(8), 826–834. https://doi.org/10.1111/j.1365-2923.2010.03725.x

 

Houlden, V., Weich, S., de Albuquerque, J. P., Jarvis, S., & Rees, K. (2018). The relationship between greenspace and the mental wellbeing of adults: A systematic review. In PLoS ONE (Vol. 13, Issue 9). https://doi.org/10.1371/journal.pone.0203000

 

Huang, F., Wang, H., Wang, Z., Zhang, J., Du, W., Su, C., Jia, X., Ouyang, Y., Wang, Y., Li, L., Jiang, H., & Zhang, B. (2020). Psychometric properties of the perceived stress scale in a community sample of Chinese. BMC Psychiatry, 20(1), 1–7. https://doi.org/10.1186/s12888-020-02520-4

 

Jiang, J. M., Seng, E. K., Zimmerman, M. E., Sliwinski, M., Kim, M., & Lipton, R. B. (2017). Evaluation of the Reliability, Validity, and Predictive Validity of the Subscales of the Perceived Stress Scale in Older Adults. Journal of Alzheimer’s Disease, 59(3), 987–996. https://doi.org/10.3233/JAD-170289

 

Kemperman, A., & Timmermans, H. (2014). Green spaces in the direct living environment and social contacts of the aging population. Landscape and Urban Planning, 129, 44–54. https://doi.org/10.1016/j.landurbplan.2014.05.003

 

Lehberger, M., Kleih, A. K., & Sparke, K. (2021). Self-reported well-being and the importance of green spaces – A comparison of garden owners and non-garden owners in times of COVID-19. Landscape and Urban Planning, 212(April), 104108. https://doi.org/10.1016/j.landurbplan.2021.104108

 

Luo, S., Xie, J., & Furuya, K. (2021). “We Need such a Space”: Residents’ Motives for Visiting Urban Green Spaces during the COVID-19 Pandemic. Sustainability (Switzerland), 13(12), 1–18. https://doi.org/10.3390/su13126806

 

Oka, T., Hayashida, S., Kaneda, Y., Takenaga, M., Tamagawa, Y., Tsuji, S., & Hatanaka, A. (2008). Green odor attenuates a cold pressor test-induced cardiovascular response in healthy adults. BioPsychoSocial Medicine, 2(June 2014). https://doi.org/10.1186/1751-0759-2-2

 

Pfefferbaum, B., & North, C. S. (2020). Mental Health and the Covid-19 Pandemic. New England Journal of Medicine, 383(6), 510–512. https://doi.org/10.1056/nejmp2013466

 

Pouso, S., Borja, Á., Fleming, L. E., Gómez-Baggethun, E., White, M. P., & Uyarra, M. C. (2020). Contact with blue-green spaces during the COVID-19 pandemic lockdown beneficial for mental health. Science of the Total Environment, 756, 143984. https://doi.org/10.1016/j.scitotenv.2020.143984

 

Pratiwi, P. I., Xiang, Q., & Furuya, K. (2019). Physiological and psychological effects of viewing urban parks in different seasons in adults. International Journal of Environmental Research and Public Health, 16(21). https://doi.org/10.3390/ijerph16214279

 

Pratiwi, P. I., Xiang, Q., & Furuya, K. (2020). Physiological and psychological effects ofwalking in urban parks and its imagery in different seasons in middle-aged and older adults: Evidence from Matsudo City, Japan. Sustainability (Switzerland), 12(10), 4–10. https://doi.org/10.3390/SU12104003

 

Priyantini, D., Nursalam, N., & Sukartini, T. (2021). Analysis of Factors Affecting the Mental Health Crisis of Coronavirus Disease Infection in Java Island. Jurnal Ners, 16(1), 60. https://doi.org/10.20473/jn.v16i1.23321

 

Ribeiro Santiago, P. H., Nielsen, T., Smithers, L. G., Roberts, R., & Jamieson, L. (2020). Measuring stress in Australia: Validation of the perceived stress scale (PSS-14) in a national sample. Health and Quality of Life Outcomes, 18(1), 1–16. https://doi.org/10.1186/s12955-020-01343-x

 

Shanahan, D. F., Bush, R., Gaston, K. J., Lin, B. B., Dean, J., Barber, E., & Fuller, R. A. (2016). Health Benefits from Nature Experiences Depend on Dose. Scientific Reports, 6(June), 1–10. https://doi.org/10.1038/srep28551

 

Sholeh, M. N., & Wibowo, M. A. (2015). Aplikasi Rantai Pasok: Pengadaan Material Konstruksi Antar Pulau. Prosiding Seminar Nasional Multi Disiplin Ilmu &Call for Papers Unisbank (Sendi_U), 978–979.

 

Theodorou, A., Panno, A., Carrus, G., Carbone, G. A., Massullo, C., & Imperatori, C. (2021). Stay home, stay safe, stay green: The role of gardening activities on mental health during the Covid-19 home confinement. Urban Forestry and Urban Greening, 61(March), 127091. https://doi.org/10.1016/j.ufug.2021.127091

 

Thoma, M. V., Mewes, R., & Nater, U. M. (2018). Preliminary evidence: The stress-reducing effect of listening to water sounds depends on somatic complaints. Medicine (United States), 97(8). https://doi.org/10.1097/MD.0000000000009851

 

Ugolini, F., Massetti, L., Calaza-Martínez, P., Cariñanos, P., Dobbs, C., Ostoic, S. K., Marin, A. M., Pearlmutter, D., Saaroni, H., Šaulienė, I., Simoneti, M., Verlič, A., Vuletić, D., & Sanesi, G. (2020). Effects of the COVID-19 pandemic on the use and perceptions of urban green space: An international exploratory study. Urban Forestry and Urban Greening, 56(October). https://doi.org/10.1016/j.ufug.2020.126888

 

White, M., Smith, A., Humphryes, K., Pahl, S., Snelling, D., & Depledge, M. (2010). Blue space: The importance of water for preference, affect, and restorativeness ratings of natural and built scenes. Journal of Environmental Psychology, 30(4), 482–493. https://doi.org/10.1016/j.jenvp.2010.04.004

 

WHO. (2017). Social determinants of mental health. Global Mental Health: Prevention and Promotion, 33–46. https://doi.org/10.1007/978-3-319-59123-0_4

 

Wicaksono, D. A., Roebianto, A., & Sumintono, B. (2021). Internal Validation of the Warwick-Edinburgh Mental Wellbeing Scale: Rasch Analysus in the Indonesian Context (pp. 229–248). Journal of Education, Health and Comunity Psychology. https://doi.org/10.12928/jehcp.v10i2.20260

 

Xie, J., Luo, S., Furuya, K., & Sun, D. (2020). Urban parks as green buffers during the COVID-19 pandemic. Sustainability (Switzerland), 12(17), 1–17. https://doi.org/10.3390/SU12176751

 

Yang, M., Dijst, M., Faber, J., & Helbich, M. (2020). Using structural equation modeling to examine pathways between perceived residential green space and mental health among internal migrants in China. Environmental Research, 183(July 2019), 109121. https://doi.org/10.1016/j.envres.2020.109121

 

Young, C., Hofmann, M., Frey, D., Moretti, M., & Bauer, N. (2020). Psychological restoration in urban gardens related to garden type, biodiversity and garden-related stress. Landscape and Urban Planning, 198(May 2018), 103777. https://doi.org/10.1016/j.landurbplan.2020.103777

 

Zhang, X., Zhang, Y., & Zhai, J. (2021). Home Garden With Eco-Healing Functions Benefiting Mental Health and Biodiversity During and After the COVID-19 Pandemic: A Scoping Review. Frontiers in Public Health, 9(May), 1–13. https://doi.org/10.3389/fpubh.2021.740187

 

Zhang, X., Zhang, Y., Zhai, J., Wu, Y., & Mao, A. (2021). Waterscapes for promoting mental health in the general population. International Journal of Environmental Research and Public Health, 18(22). https://doi.org/10.3390/ijerph182211792


 

*Corresponding Author: 

Department of Landscape Architecture, Faculty of Agriculture, IPB University, Indonesia

Email address: samlazuardi@apps.ipb.ac.id

 

 

How to cite this article:

Lazuardi, S. N., Sulistyantara, B., & Pratiwi, P. I. (2022). The Role of Home Gardens in Developing Cities for Improving Workers' Psychological Conditions. Journal of Contemporary Urban Affairs, 6(2), 233-248. https://doi.org/10.25034/ijcua.2022.v6n2-9